Outsourcing
TORTURE
In 2006, the Danish Security and Intelligence Service approached Ali Ibrahim, a Danish citizen of Lebanese descent, with a proposal to become an informer.
Ali refused.
WATCH THE FILM
Ali and two other Muslim Danish citizens reveal for the first time how they were approached by the Danish intelligence services in the mid-2000s and how this landed them in Lebanon and some of the Middle East's most notorious detention facilities.
Their stories point to what could be a hidden role for Denmark and Lebanon in a new form of rendition: the outsourcing of torture.
NINE
EYES
On February 14, 2015, 22-year-old Omar Abdel Hamid El-Hussein fired a gun at an event in the Krudttonden cultural centre in Copenhagen, killing one person. The following day he shot another person at a synagogue.
The shootings came a month after the attack on the French satirical magazine Charlie Hebdo, in which brothers Chérif and Saïd Kouachi killed 12 people.
In the aftershock of these attacks, European countries announced new security measures and increased intelligence cooperation with countries in the Middle East.
However, increasing surveillance and strong intelligence cooperation had already been in place in countries like Denmark, with Muslim communities bearing the brunt of this security pressure. In the mid-2000s the Danish government struggled with the backlash of the 2005 Prophet Muhammad cartoon controversy and later with its participation in the UN peacekeeping mission in Lebanon.
At that time, the Danish Security and Intelligence Service (PET) and the Danish Defence Intelligence Service (DDIS) stepped up their efforts to recruit Muslim citizens as informers. The intelligence services even distributed advertisements.
PET recruited the Danish convert to Islam, Morten Storm, who informed on people of interest to the intelligence agency. In his book Agent Storm: My Life Inside al-Qaeda and the CIA, Storm claims that the Danish intelligence services introduced him to their British counterparts and to the CIA.
Throughout the decades, Denmark had a very close cooperation with the US. This increased dramatically in the decade that came to be defined by the 9/11 attacks and the so-called global "war on terror".
US government documents leaked by Edward Snowden revealed that there are four levels of cooperation between US and foreign intelligence agencies. Denmark, along with Norway, the Netherlands, and France are in the second highest tier or the so-called "Nine Eyes".
Five Anglophone countries, the US, Australia, Canada, New Zealand, and the UK belong to the highest tier, "Comprehensive Cooperation", or otherwise known as the "Five Eyes".
The strategic location of Denmark has encouraged US interest in intelligence cooperation. As Mikko Hypponen, the head of the data security company F-secure, has pointed out to a Danish newspaper, "If your country is in a key location, and if a lot of interesting traffic happens to flow through it, that makes you an important partner. A large part of the internet traffic from Russia and the rest of Scandinavia flows through Danish networks, which justifies the US interest in working together with the authorities."
Danish media sources disclosed that the Danish Defence Intelligence Service participates in "all probability" in secret cooperation with the NSA to tap fibre cables carrying internet and telecommunications traffic through Denmark, including Facebook messages, Skype calls and emails.
In 2008, Danish channel DR1 TV released a documentary detailing the close cooperation between the CIA and Danish intelligence services, including on issues like renditions. Flight schedules showed that CIA-operated flights which stopped over on Danish territory were destined for countries like Egypt, Jordan, Romania, Uzbekistan, Azerbaijan, and Afghanistan.
However, that was not the first time there was a Danish connection in a CIA rendition operation. The rendition of Talat Fouad Qasim (Abu Talal) is the first known rendition case carried out by the CIA to a third country with a record of torture.
Qasim was believed to be the head of al-Gamaa al-Islamiya in Egypt. After he fled Egypt, the authorities filed requests for his extradition.
In the early 1990s, he obtained asylum in Denmark and settled there. In 1995, he travelled to Croatia to write about the Yugoslav conflict and was arrested in Zagreb, according to sources close to his family.
He was passed on to the CIA and then handed over to the Egyptian authorities. He was executed shortly after.
According to former CIA official Michael Scheuer, who developed the US rendition programme in the 1990s, the Danish intelligence services were spying on Qasim while he was living in Denmark.
Although Scheuer claims that the CIA did not inform its Danish counterpart before taking Qasim in Croatia, Salah Hassan, one of Abu Talal's close friends, disagrees.
EXCLUSIVE INTERVIEW WITH SALAH HASSAN
ENEMY OF
THE STATE
In the mid-2000s, all three victims - Ali Ibrahim, Abu Abdullah and Hassan Jabbar were on the surveillance radar of the intelligence services.
Hassan was the first one to have an encounter with PET in 1997. As a volunteer cleric active with charities through his local mosque, he naturally had to deal with the Danish authorities.
He says, he was followed by PET officers on the streets of Copenhagen and was asked to come in for a "chat", which he refused to do.
In 2006, PET approached Ali Ibrahim with a proposal to become an informer for the agency; he refused.
Abu Abdullah was approached several times and interrogated in Denmark as well.
It was also in late 2006 that PET recruited Morten Storm to spy on the Muslim community in Denmark.
In 2006, Ali Ibrahim travelled to Lebanon after feeling intimidated by PET. At that time, one of his brothers, Saddam, was involved with the group calling itself Fatah Al Islam. He believes that his brother's connection made him an attractive and potential informer for the Danish intelligence service PET. In his book, Morten Storm says that in the spring of 2007, he was sent to Lebanon to inform on people of interest to PET. He claims to have met Saddam there.
After his arrival in Lebanon, Ali was repeatedly harassed and interrogated by the Lebanese authorities.
He believes that the harassment and arrests would not have happened if PET had not tipped off the Lebanese about him being a person of interest to them.
In May 2007, Ali says four armed men kidnapped him off the streets of Tripoli in front of his wife and children. He was subjected to eight months of solitary confinement, regular beatings, violent interrogations and torture. He spent almost three years in the Roumieh prison.
After his arrival in Lebanon, Ali was repeatedly harassed and interrogated by the Lebanese authorities. He believes this took place following a tip off from the Danish intelligence.
Al Jazeera has obtained documents proving that Ali was severely tortured. He was eventually released in January 2010.
In 2007, Hassan travelled to Lebanon to visit his wife's family. He was taken right after he walked out of the plane in Beirut airport. He was then transferred to the detention facility run by the Lebanese Ministry of Defence, as he found out later.
He was accused of financing international terrorism and was held for a week under inhumane and cruel conditions. He says Lebanese officers interrogating him told him that the Danish authorities had requested his detention.
Hassan recounts how he was asked about people of different backgrounds living in Denmark, all of whom were Muslim; none had connections to Lebanon.
He was eventually released after the intervention of a senior religious figure in Lebanon.
In 2010, Abu Abdullah went on a visit to Lebanon with his family. When he tried to go back to Copenhagen, the Lebanese authorities prevented him from travelling. Instead they sent him to a detention facility at the Ministry of Defence. There, he says, he was subjected to violent interrogation and torture for three weeks.
Because there were no charges against him, a Lebanese judge released him. However, the Lebanese security services did not let him leave the country, he says. After a year of challenging his travel ban with the help of a lawyer, Abu Abdullah managed to leave Lebanon and return to Denmark.
ALI IBRAHIM
HASSAN JABBAR
ABU ABDULLAH
TIMELINE
SUMMER 1995
The US government approves a secret programme for renditions of alleged terror suspects.
SEPTEMBER 1995
he rendition of Talat Fouad Qasim (Abu Talal) takes place.
1997
Danish intelligence services approach Hassan you should add "ahead of US President Bill Clinton's visit to Denmark.
1998
Hassan approached again by the Danish intelligence services for "a chat" ahead of King Hussein of Jordan's visit to Denmark.
11 SEPTEMBER 2001
Coordinated attacks on New York and Washington DC. US President George W Bush announces the start of the so-called "war on terror".
30 SEPTEMBER 2005
Danish newspaper publishes controversial cartoons depicting the Prophet Muhammad, sparking protests in many countries.
OCTOBER 2005 - JANUARY 2006
Danish intelligence services approach Hassan for a chat and Ali to recruit him to spy for the service.
5 FEBRUARY 2006
Danish embassy torched, amid protests against the Prophet Mohammed cartoons.
JULY 2006
Israel-Hezbollah war starts.
AUGUST 2006
UN brokers a ceasefire deal between Hezbollah and Israel and sends more peacekeepers to Lebanon.
AUTUMN 2006
PET approaches Danish convert to Islam, Morten Storm, to recruit him to work for the agency, according to his book.
DECEMBER 2006
Ali travels to Lebanon after harassment from PET intensifies.
DECEMBER 2006 - MAY 2007
Ali is arrested repeatedly by the Lebanese authorities.
MARCH 2007
Lebanese authorities detain Hassan at the Beirut airport.
APRIL 2007
PET sends Morten Storm to Lebanon to gather information on people of interest to the Danish intelligence services, according to his book. Storm claims that he met Saddam al-Hajdib, who he says was a member of Fatah Al Islam. Saddam was Ali's brother. He was killed later the same year in clashes with the Lebanese army.
MAY 2007
Fighting breaks out between the Lebanese army and Fatah AI-Islam in Naher Al Bared camp. Ali is arrested again.
JUNE 2007
An explosive device hits a UNIFIL convoy, killing six peacekeepers. Lebanese authorities claim that they arrested and interrogated members of Fatah Al Islam, who confessed that there was a plan to attack the UN.
AUTUMN 2009
Denmark sends peacekeepers to Lebanon as part of UNIFIL.
JANUARY 2010
Ali is released.
JUNE 2010
Danish intelligence services approach Abu Abdullah to recruit him, but he refuses. He then travels to Lebanon, where he is arrested. He is soon released, but is banned from leaving the country.
2011
Abu Abdullah is allowed to leave Lebanon.
JUNE 2013
Edward Snowden leaks NSA documents that reveal close intelligence cooperation between European countries and the US. Denmark is named as one of the countries in "Nine Eyes".
OCTOBER 2014
The United Nations releases a report criticising Lebanon for its use of "systematic torture".
7 JANUARY 2015
Brothers Chérif and Saïd Kouachi attack the office of satirical newspaper Charlie Hebdo in Paris, killing 12 people.
12 JANUARY 2015
The Lebanese security forces raid Roumieh prison and clear the so-called "Block of Terror".
15 FEBRUARY 2015
22-year-old Danish man attacks a Copenhagen synagogue and a cafe, where a meeting on "freedom of expression" was being held. He kills 2 people and is later shot dead by Danish police.
LEBANESE
CONNECTION
Lebanon was one of the countries where the backlash of the 2005 Prophet Mohamed cartoons was particularly strong. Protests turned violent and on February 5, 2006, the Danish embassy in Beirut was set on fire. This incident put Lebanon on the Danish intelligence radar.
In the mid-2000s Lebanon was also waging its own "war on terror". In May 2007, the Lebanese army launched an attack against an armed group calling itself Fatah Al Islam, which had taken control of the Palestinian refugee camp Nahr Al Bared. It was during this conflict that Ali's brother Saddam was killed.
Lebanon has also been open to cooperation with Western intelligence services. In an interview with Al Jazeera, then Minister of Interior Ziad Baroud said he never received any requests to interrogate European nationals.
He suggests that if any requests were ever made, they might have come to the Ministry of Justice. Al Jazeera went to interview the Minister of Justice at the time of the Nahr Al-Bared conflict, Charles Rizk. Diplomatic cables exposed on WikiLeaks put him at the heart of a political storm a few years ago.
It was alleged that he cooperated with the US in trying to find a loophole in local law so that Lebanese citizens could be extradited to the US. But told us that his ministry and the public prosecutor act upon information from the intelligence service. In the interview, Rizk refused to discuss his own role, denying any wrongdoing.
The Lebanese security apparatus is notorious for its gruesome methods. A recent investigation by the UN Committee against Torture found that the use of torture in Lebanese detention centres is systemic.
Out of 216 detainees interviewed, 99 said they had been subjected to torture by law enforcement officials and especially members of the Internal Security Forces (ISF) operating under the Ministry of Interior.
The committee concluded that "the penal system is dysfunctional" and that it allows impunity for perpetrators of torture. Ziad Baroud told Al Jazeera that torture might be taking place but that it is isolated. He says there are not direct orders to torture.
Al Jazeera obtained exclusive footage from Roumieh prison and a Skype interview with one of its inmates.
A SKYPE CALL TO ROUMIEH PRISON
Lebanon's prison system is endemically overcrowded and mismanaged. The country's central, and largest, Roumieh prison, located in the outskirts of Beirut, was built with a capacity of 1,500 inmates, but currently holds more than 5,000. The squalid conditions in which prisoners live have been criticised repeatedly by local and international organisations. Roumieh prison has been the site of a number of prisoners' riots and hunger strike campaigns.
Most recently, Block B of the prison - known as the Block of Terror - was raided by the ISF on January 12 and all inmates were moved to another block. The nine-hour operation was said to be linked to twin suicide bombings in the northern city of Tripoli earlier the same month. The Lebanese authorities said security forces intercepted calls between Islamist inmates in Block B and the two suicide bombers who carried out the twin attacks.
In addition to the central prison, there are numerous other prisons and detention facilities in Lebanon and some fall under the control of either the Information Branch of the Internal Security Forces or the military intelligence under the defence ministry. Both institutions are known for their brutal ways.
Ali says he was taken to an undisclosed location for a special interrogation on several occasions.
He then took photographs of Ali and saliva swaps for DNA tests. Australia is one of the Five Eyes countries, the highest level of cooperation between US and foreign intelligence agencies.
WALL OF SILENCE
Ali's ordeal did not end in Lebanon with his release from prison. Upon his return to Copenhagen in 2010, he says two intelligence officers met him at the airport. He recounts how he was questioned and intimidated again.
According to Ali, one of the intelligence officers said to him, "We're different from them. We interrogate differently", referring to the Lebanese intelligence.
Ali says, the officers then asked him what he would do to the Danish artist who drew the controversial Prophet Mohamed cartoons. Ali replied to them that he had a family to take care of. He says that before leaving the officers told him that they would "see each other" every week.
It started all over again: phone calls from secret numbers. Each week an officer calling himself Renee would phone him.
Ali says he mentioned this to his doctor from the Rehabilitation and Research Centre for Torture Victims (RCT), which now goes by the name the of Dignity Institute.
The RCT refused to discuss Ali’s case, citing privacy concerns. Ali says the calls from PET stopped after he wrote a letter with the help of a doctor from the RCT.
He requested in the letter that PET would officially give him an appointment if they wanted anything from him. The calls stopped after Ali wrote this letter.
Five years after his release, Ali is still trying to find a lawyer to represent him. He still wonders why the Danish intelligence services approached him, and why the Lebanese released him without charges, only to convict him later in absentia and give him the death sentence in a terrorism-related case.
As for Hassan, he is looking for meaning in what happened to him. He has resumed his volunteer work as a cleric in Copenhagen. He says, his case is not isolated. He says many young people he knows told him that PET has offered them work as informers. He says the intelligence community offered lots of money and social and bureaucratic services to the young men.
He has little faith in the justice system. When he returned to Denmark, he asked a few friends whether he should contact the Ministry of Foreign Affairs, the intelligence services or even the media.
He was advised to forget about it because he is not of Danish origin. "It was a combination of fear and shock, which prevented me from opening a case." Only now has he opened up about his ordeal.
After all these years, Abu Abdullah says he is still afraid. He wants to protect his family by remaining anonymous.
Both Ali and Abu Abdullah say they are terrified when they travel .
CRITICAL VOICES
JUAN É. MENDEZ
Juan E. Méndez, the UN Special Rapporteur on Torture, tells Al Jazeera that the rule of law is the only way to fight terror. He says he cannot comment on these specific cases relating to Lebanon and Denmark.
However, he told us that a lot remains hidden from the days of the so-called "war on terror" and extraordinary renditions.
He calls on all countries to open up investigations into any misconduct on torture-related cases, especially Arab League states. Juan stresses that the challenge for human rights advocates is that a lot of the intelligence work takes place in secrecy.
He says only a handful of nations responded to UN request for investigations. Himself a victim of torture, he says that the world is more accepting of torture today than when he was tortured decades ago.
Victor Madrigal-Borloz is Secretary-General of International Rehabilitation Council for Torture Victims (IRCT), a health-based umbrella organisation that supports the rehabilitation of torture victims and the prevention of torture worldwide.
A Costa Rican jurist, Victor has over 18 years of experience as a human rights advocate.
He is a member of the UN Subcommittee for Prevention of Torture.
Victor says that torture never yields good results. Instead it creates suffering and trauma, and it does not yield good intelligence.
Professor Bent Sorensen, and his wife Inge Genefke are leading members of the global anti-torture movement and have for decades been at the forefront in the efforts for rehabilitation of victims of torture.
Sorensen says it is hard to change perceptions and attitudes on torture. Despite decades-long campaigns, there is still a prevalent belief that torture yields results.
Tue Magnussen is a longtime activist campaigning against torture. He says Denmark has compromised its role as a leading country in the fight against torture.
He blames the "war on terror" and the global intelligence community.
Independent journalist Fidaa Itani talks about the Nahr Al Bared conflict, the torching of the Danish embassy in Lebanon, and the Danish government’s concerns in Lebanon.
Fidaa has covered conflicts in the Middle East extensively. Over the years, he has gained expert knowledge of armed groups in the Middle East.
Fidaa was himself kidnapped by a small Syrian rebel group a few years back and later released. He is one of several people whom Danish officials met during the backlash on the cartoon crisis in 2006.
He believes an intelligence officer was part of the delegation. The officials wanted to understand what they called "Islamist threat" to Danish interests. Fidaa says that Denmark, like many other Western countries, had an exaggerated perception of the Islamist landscape.
VICTOR MADRIGAL
BENT SORENSEN
TUE MAGNUSSEN
FIDAA ITANI
EVIDENCE
Al Jazeera obtained these exclusive pictures from inside Lebanon's Roumieh Prison. The pictures were taken on a mobile phone by inmates.
They show the squalid conditions of the infamous Block B.
The inmates who used to be in Block B have since been moved to another block in the prison.
Al Jazeera has obtained documents proving that Ali was tortured severely.
One of the documents is a report from the Lebanese Centre for Human Rights. It details Ali's prison experience in Lebanon. This report was sent to the Rehabilitation and Research Centre for Torture Victims recommending further treatment.
Among the documents Ali provided is his medical record. It include reports from a Danish hospital stating he was subject to torture. Doctor appointments show he was treated for ailments resulting from the torture, including scabies, teeth decay, urological complications and chronic shoulder and back pain.
Ali now has to wear a shoe insert for life as a result of the beatings.
Ali's documents. It includes reports from a Danish hospital stating he had been subjected to torture.
Hassan's asylum papers.
Red Cross document showing Hassan was a prisoner of War during the First Gulf War
Ali's documents. It includes reports from a Danish hospital stating he had been subjected to torture.
Ali's documents. It includes reports from a Danish hospital stating he had been subjected to torture.
Ali's documents. It includes reports from a Danish hospital stating he had been subjected to torture.
Ali's documents. It includes reports from a Danish hospital stating he had been subjected to torture.
Ali's documents. It includes reports from a Danish hospital stating he had been subjected to torture.
Ali's documents. It includes reports from a Danish hospital stating he had been subjected to torture.
Ali's documents. It includes reports from a Danish hospital stating he had been subjected to torture.
Ali's documents. It includes reports from a Danish hospital stating he had been subjected to torture.
Ali's documents. It includes reports from a Danish hospital stating he had been subjected to torture.
Ali's documents. It includes reports from a Danish hospital stating he had been subjected to torture.
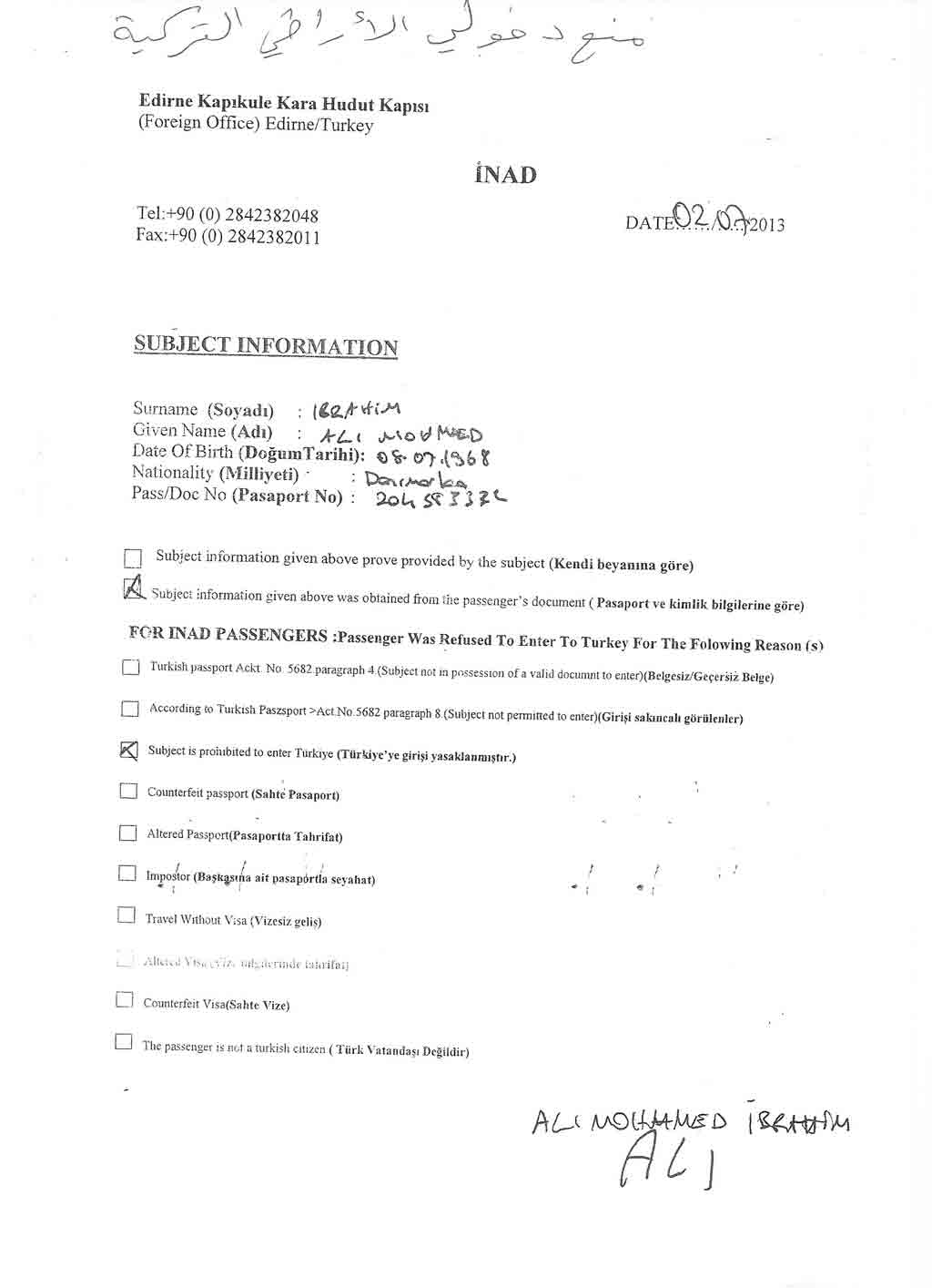
Ali's ticket proving he was denied entry following his ordeal.
Ali's ticket proving he was denied entry following his ordeal.
Ali's ticket proving he was denied entry following his ordeal.
Ali's documents. It includes reports from a Danish hospital stating he had been subjected to torture.
Ali's documents. It includes reports from a Danish hospital stating he had been subjected to torture.
Ali's documents. It includes reports from a Danish hospital stating he had been subjected to torture.
Ali's documents. It includes reports from a Danish hospital stating he had been subjected to torture.
Ali's documents. It includes reports from a Danish hospital stating he had been subjected to torture.
Ali's documents. It includes reports from a Danish hospital stating he had been subjected to torture.
Ali's documents. It includes reports from a Danish hospital stating he had been subjected to torture.
Ali's documents. It includes reports from a Danish hospital stating he had been subjected to torture.
Ali's documents. It includes reports from a Danish hospital stating he had been subjected to torture.
Ali's documents. It includes reports from a Danish hospital stating he had been subjected to torture.
Ali's documents. It includes reports from a Danish hospital stating he had been subjected to torture.
Ali's documents. It includes reports from a Danish hospital stating he had been subjected to torture.
Ali's documents. It includes reports from a Danish hospital stating he had been subjected to torture.
Ali's documents. It includes reports from a Danish hospital stating he had been subjected to torture.
Ali's documents. It includes reports from a Danish hospital stating he had been subjected to torture.
Ali's documents. It includes reports from a Danish hospital stating he had been subjected to torture.
Ali's documents. It includes reports from a Danish hospital stating he had been subjected to torture.
Ali's documents. It includes reports from a Danish hospital stating he had been subjected to torture.
Ali's documents. It includes reports from a Danish hospital stating he had been subjected to torture.
<
>
OUTSOURCING TORTURE
<
>